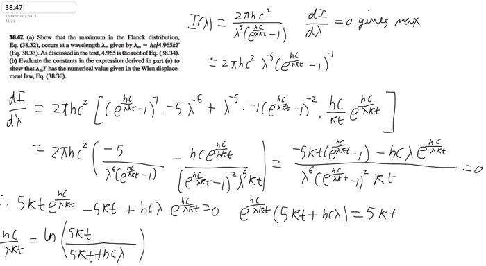
Wien's Displacement Law Statement : Black Body Radiation - A peak monochromatic emissive power of of occurs at a particular wa.

Wien's Displacement Law Statement : Black Body Radiation - A peak monochromatic emissive power of of occurs at a particular wa.. They do not solve the central problem, i.e. Wien's displacement law states that (constant). As can be seen from the figure, the blackbody radiation curve for different temperatures peaks at a wavelength inversely proportional to the temperature. It doesn't give the work done because there is no relation of work done with the wien's displacement law. (1) wien's displacement law or (2) the emission of an alpha particle by an atom reduces the atomic number by two while the emission of a beta particle increases it by one or (3) ionization of an element causes both its spectrum and its chemical properties to resemble those of the element whose atomic number is.

We can easily deduce that a wood fire which is approximately 1500k hot, gives out peak radiation at 2000 nm. When an electrical heater is switched on, the colour of the filament gradually changes from red to yellow to almost white. If is the wavelength corresponding to maximum spectral radiancy for temperature , then the wien displacement is described mathematically as: It should be noted that the peak of the radiation curve in the wien relationship is the peak only because the intensity is. According to wien's displacement law, the spectral radiance of black body radiation per unit wavelength, peaks at the wavelength λmax given by:

Laws Of Radiation
Laws Of Radiation from www.newport.com
The shift of that peak is a direct consequence of the planck radiation law which describes the spectral brightness of black body radiation as a function of wavelength at any given temperature. Wien s law is not obvious in the picture, because… Wien's law identifies the dominant (peak) wavelength, or color, of light coming from a body at a given temperature. When the temperature of a radiating black body increases, the wavelength corresponding to maximum energy decreases in such a way that the product of the absolute temperature and wavelength is. They do not solve the central problem, i.e. But this was not able to explain the blackbody radiatio. The second phenomenological observation from experiment was wien's displacement law. So statement 2 is true.

For the historical distribution law, see wien s distribution law.

This relationship is called wien's displacement law and is useful for determining the temperatures of hot radiant objects such as stars, and indeed for a determination of the temperature of any radiant object whose temperature is far above that of its surroundings. Wien's displacement law is said to be relationship between the temperature of a black body and the wavelength at which the maximum value of monochromatic emissive power of occurs. For the historical distribution law, see wien s distribution law. Where t is the absolute temperature in kelvins, b is a constant of proportionality, known as wien's displacement constant, equal to 2.8978 × 10−3 k.m. But this was not able to explain the blackbody radiatio. In the original paper by wien, the author starts from a version of the law which appears to be incompatible with the one stated by planck: Wien s law redirects here. Wien's law, also called wien's displacement law, relationship between the temperature of a blackbody (an ideal substance that emits and absorbs all frequencies of light) and the wavelength at which it emits the most light. Wiens introduced his displacement law, based on classical physics to explain blackbody radiation law. If is the wavelength corresponding to maximum spectral radiancy for temperature , then the wien displacement is described mathematically as: It should be noted that the peak of the radiation curve in the wien relationship is the peak only because the intensity is. So statement 1 is true. The wavelength of thermal radiation most copiously emitted by a blackbody is inversely proportional to the absolute temperature of the body.

It should be noted that the peak of the radiation curve in the wien relationship is the peak only because the intensity is. This statement was proved by gustav kirchhoff: This is why a campfire is an excellent source of warmth but a very poor source of light. It was found that wein's distribution law explains. The wavelength for which the spectral radiancy becomes is inversely proportional to the absolute temperature of the black body.

Pin On School
Pin On School from i.pinimg.com
For the historical distribution law, see wien s distribution law. A peak monochromatic emissive power of of occurs at a particular wa. Thus, λ m t = constant. It was found that wein's distribution law explains. It doesn't give the work done because there is no relation of work done with the wien's displacement law. According to wien's displacement law, the spectral radiance of black body radiation per unit wavelength, peaks at the wavelength λmax given by: Wiens introduced his displacement law, based on classical physics to explain blackbody radiation law. So statement 2 is true.

Wien's displacement law states that (constant).

Wien s law redirects here. So statement 1 is true. (1) wien's displacement law or (2) the emission of an alpha particle by an atom reduces the atomic number by two while the emission of a beta particle increases it by one or (3) ionization of an element causes both its spectrum and its chemical properties to resemble those of the element whose atomic number is. Wien's law identifies the dominant (peak) wavelength, or color, of light coming from a body at a given temperature. This is why a campfire is an excellent source of warmth but a very poor source of light. Wien's law or wien's displacement law, named after wilhelm wien was derived in the year 1893 which states that black body radiation has different peaks of temperature at wavelengths that are inversely proportional to temperatures. Where t is the absolute temperature in kelvins, b is a constant of proportionality, known as wien's displacement constant, equal to 2.8978 × 10−3 k.m. The question as to the distribution of radiation energy over the various wavelengths at different black body. This statement was proved by gustav kirchhoff: When the temperature of a radiating black body increases, the wavelength corresponding to maximum energy decreases in such a way that the product of the absolute temperature and wavelength is constant. Wiens introduced his displacement law, based on classical physics to explain blackbody radiation law. When the temperature of a radiating black body increases, the wavelength corresponding to maximum energy decreases in such a way that the product of the absolute temperature and wavelength is. The shift of that peak is a direct consequence of the planck radiation law which describes the spectral brightness of black body radiation as a function of wavelength at any given temperature.

(1) wien's displacement law or (2) the emission of an alpha particle by an atom reduces the atomic number by two while the emission of a beta particle increases it by one or (3) ionization of an element causes both its spectrum and its chemical properties to resemble those of the element whose atomic number is. The shift of that peak is a direct consequence of the planck radiation law which describes the spectral brightness of black body radiation as a function of wavelength at any given temperature. Wien's law (named after a german physicist) describes the shift of that peak in terms of temperature.wien's displacement law, and the fact that the frequency is inversely proportional to the wavelength, also. For the historical distribution law, see wien s distribution law. These show how the maximum spectral radiance lm and the wavelength λm at which it occurs are related to the absolute temperature t.

According To Wien S Displacement Law The Wavelength Chegg Com
According To Wien S Displacement Law The Wavelength Chegg Com from media.cheggcdn.com
(1) wien's displacement law or (2) the emission of an alpha particle by an atom reduces the atomic number by two while the emission of a beta particle increases it by one or (3) ionization of an element causes both its spectrum and its chemical properties to resemble those of the element whose atomic number is. Wien's displacement law is said to be relationship between the temperature of a black body and the wavelength at which the maximum value of monochromatic emissive power of occurs. It is named after german physicist wilhelm wien, who received the nobel prize for physics in 1911 for discovering the law. According to wien's law, as temperature increases, peak wavelength will decrease, so the color we observe will blueshift. despite having reached wien's law in my research, my understanding is that this is in fact not an answer to why the blueshift occurs, but just a statement that the blueshift does occur. Wien, 23 the importance of which lies in the fact that it reduces the functions u ν and k ν of the two arguments ν and t to a function of a single argument. Where t is the absolute temperature in kelvins, b is a constant of proportionality, known as wien's displacement constant, equal to 2.8978 × 10−3 k.m. Wiens introduced his displacement law, based on classical physics to explain blackbody radiation law. The constant has the value of

Where t is the absolute temperature in kelvins, b is a constant of proportionality, known as wien's displacement constant, equal to 2.8978 × 10−3 k.m.

The currently recommended value of. Wien's displacement law states that (constant). For the historical distribution law, see wien s distribution law. The wavelength for which the spectral radiancy becomes is inversely proportional to the absolute temperature of the black body. A peak monochromatic emissive power of of occurs at a particular wa. When an electrical heater is switched on, the colour of the filament gradually changes from red to yellow to almost white. So statement 3 is not true. Wien's law identifies the dominant (peak) wavelength, or color, of light coming from a body at a given temperature. Black body thermal emission intensity as a function of wavelength for various absolute temperatures. Wien's law, also called wien's displacement law, relationship between the temperature of a blackbody (an ideal substance that emits and absorbs all frequencies of light) and the wavelength at which it emits the most light. This means that the majority of the radiation from the wood fire is beyond the human eye's visibility. According to wien's displacement law, the spectral radiance of black body radiation per unit wavelength, peaks at the wavelength λmax given by: It was found that wein's distribution law explains.

So statement 1 is true wien's displacement law. So statement 1 is true.

Comments